Using Free-Space Modules
In addition to fiber-coupled lasers, it is also possible to use free-space lasers such as the CNI MGL-III-532 which we tested here in a 75 mW version. Free space lasers are cheaper than fiber-coupled lasers for the same output power and do not require laser line filtering, but the current base spectrometer does not allow for an easy swap of the laser head such that we had to construct the system of Figure 1. Note that it is important, when ordering the laser, to specify that you need a bandwidth of maximum 0.15 nm.

Figure 1 - Modified spectrometer
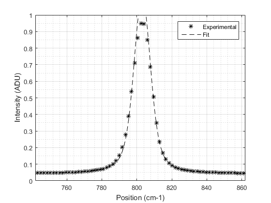
Using a 15 µm slit, I obtained a peak width of 11.5 cm-1 for iso-propanol (major peak located at 800 cm-1 – uncalibrated). The results are shown in Figure 2.

Figure 2 - Measured peak width of iso-propanol using a 15 µm slit